Support Vector Assertions




Welcome to the 22nd part of our machine learning tutorial series and the next part in our Support Vector Machine section. In this tutorial we will be covering some of the assertions that we're making upon our SVM. Understanding these assertions, some of which will become constraints, will be integral to undertanding both the math and the beauty of the Support Vector Machine.

First, let's take a look at an example "objective" of the SVM. The idea is to take known data, and then the SVM's fitment/training is actually an optimization problem that seeks to find the "best separating" line for the data, known as the decision boundary. Something like this:

python tutorials

We're in 2D space, so the separating hyperplane (decision boundary) just looks like a simple line (the red line). This decision boundary is separating the blue minus group from the green plus sign group. Next, if we were to put a point anywhere on this graph, we'd just do a simple check to see which side of the separating hyperplane it was on, and boom we have our answer. How easy is that?! Piece of cake indeed...if we could just stay in 2D. What are the dimensions in our case? Each dimension is a feature, and all of the dimensions make up our featureset. Thus, we might have a simple line, which is super easy. We could solve this with linear algebra with no trouble at all. What about when we have 63 features, so 63 dimensions?

It's not so clear at that point, no different than when we suddenly have more than 2 dimensions with Pythagorean's theorm. Fine, we move to vectorspace! Poof, we're in vector space, and now we've got an unknown featureset, noted by vector u. Then, we have another vector perpendicular to the decision boundary, vector w. It might look like:

python tutorials

Now what? We can visually tell what the deal is, but how would we know mathematically. Again, remember you need a method that will work in both 2 dimensions and 5,902. We can just project vector u onto vector w, add some bias (b), and then see if the value is above or below 0 for the class.

python tutorials

Great, except for the whole thing where we have no idea what w is and what b is.

The plot thickens.

We have two unknown variables still, and I am here to bring the bad news: we have to derive them. Immediately, this should send off red flags regarding optimization. There are an infinite number of w's and b's that might satisfy our equation, but we also know that we have a sort of constraint already defined logically in our heads: we want the "best" separating hyperplane. The best separating hyperplane is the one with the most width between the data it is separating. We can probably guess that's going to play a part in the optimization of w and b. To begin, we're going to have to set some actual mathematical constraints.

So far, we've just seen the separating hyperplane, but the separating hyperlane is actually in between two other hyperplanes. The other hyperplanes are going through what are called the support vectors, which are the featuresets (datapoints on the graph), which, if moved, would have an impact on the best separating hyperplane.

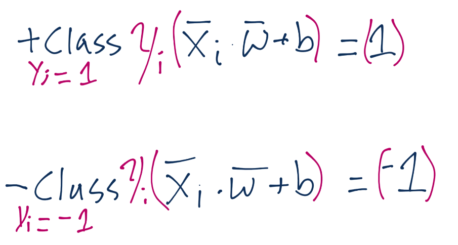
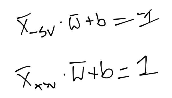
Because these support vectors have such a major impact, we're going to set a constant value to them. Recall the classification function was just sign(x.w + b) (the period signals the dot product). What if x.w+b is 0? This means we're right on the decision boundary. Otherwise, if it is above 0, then we have a positive class. If below zero, it's a negative class. We're going to take advantage of this, and then go a step further and suggest that if x.w+b is 1, then this is a positive support vector. If x.w+b is -1, then this is a negative support vector. Later, an unknown might be -.52. It's still a negative class, even though it's not beyond the -1 that is the support vector mark. We're simply using support vectors to help us pick the best separating hyperplane, that is their only use. In written form, we're asserting that:

python tutorials

What that says is, on the first line, we have the X-sub-negative-support-vector (this is any featureset that IS a negative support vector) dotted with vector w + b is equal to -1. We're just asserting this. We do the same thing for the positive support vector: X-sub-positive-support-vector dotted with vector w + b is positive one. Again, we're just stating this, there's no real proof, we're just saying this is the case. Now, we're going to bring in a new value, Yi (y sub i):

python tutorials

Just like y is our "class" value in Python code, it is here too.

python tutorials

We're going to introduce this to our previous assertion, which, if you recall was for the value of the positive and negative support vectors x.w+b=1 for positive support vector and x.w+b=-1 for a negative support vector. We are going to multiply our original assertion:

python tutorials

By this new Yi value, which, again, is just -1 or 1 (depending on whether or not the class is a -1 or a 1). When we multiply the original assertion, we have to multiply both sides by Yi, which becomes:

python tutorials

We'll leave just the notation of Yi on the left side, but we'll actually apply it to the right-side (which is 1 or -1). Doing this means for the positive support vectors, we'd have 1 x 1, so one. For negative support vectors, we'd have -1 x -1, so again we have 1. We can set both equations equal to zero, subtracting 1 from both sides, and we have the exact same equation, Yi(Xi.w+b)-1 = 0:

python tutorials

Now we have our constraint, which is what we're going to be talking more about in the next tutorial.

The next tutorial:





  • Practical Machine Learning Tutorial with Python Introduction
  • Regression - Intro and Data
  • Regression - Features and Labels
  • Regression - Training and Testing
  • Regression - Forecasting and Predicting
  • Pickling and Scaling
  • Regression - Theory and how it works
  • Regression - How to program the Best Fit Slope
  • Regression - How to program the Best Fit Line
  • Regression - R Squared and Coefficient of Determination Theory
  • Regression - How to Program R Squared
  • Creating Sample Data for Testing
  • Classification Intro with K Nearest Neighbors
  • Applying K Nearest Neighbors to Data
  • Euclidean Distance theory
  • Creating a K Nearest Neighbors Classifer from scratch
  • Creating a K Nearest Neighbors Classifer from scratch part 2
  • Testing our K Nearest Neighbors classifier
  • Final thoughts on K Nearest Neighbors
  • Support Vector Machine introduction
  • Vector Basics
  • Support Vector Assertions
  • Support Vector Machine Fundamentals
  • Constraint Optimization with Support Vector Machine
  • Beginning SVM from Scratch in Python
  • Support Vector Machine Optimization in Python
  • Support Vector Machine Optimization in Python part 2
  • Visualization and Predicting with our Custom SVM
  • Kernels Introduction
  • Why Kernels
  • Soft Margin Support Vector Machine
  • Kernels, Soft Margin SVM, and Quadratic Programming with Python and CVXOPT
  • Support Vector Machine Parameters
  • Machine Learning - Clustering Introduction
  • Handling Non-Numerical Data for Machine Learning
  • K-Means with Titanic Dataset
  • K-Means from Scratch in Python
  • Finishing K-Means from Scratch in Python
  • Hierarchical Clustering with Mean Shift Introduction
  • Mean Shift applied to Titanic Dataset
  • Mean Shift algorithm from scratch in Python
  • Dynamically Weighted Bandwidth for Mean Shift
  • Introduction to Neural Networks
  • Installing TensorFlow for Deep Learning - OPTIONAL
  • Introduction to Deep Learning with TensorFlow
  • Deep Learning with TensorFlow - Creating the Neural Network Model
  • Deep Learning with TensorFlow - How the Network will run
  • Deep Learning with our own Data
  • Simple Preprocessing Language Data for Deep Learning
  • Training and Testing on our Data for Deep Learning
  • 10K samples compared to 1.6 million samples with Deep Learning
  • How to use CUDA and the GPU Version of Tensorflow for Deep Learning
  • Recurrent Neural Network (RNN) basics and the Long Short Term Memory (LSTM) cell
  • RNN w/ LSTM cell example in TensorFlow and Python
  • Convolutional Neural Network (CNN) basics
  • Convolutional Neural Network CNN with TensorFlow tutorial
  • TFLearn - High Level Abstraction Layer for TensorFlow Tutorial
  • Using a 3D Convolutional Neural Network on medical imaging data (CT Scans) for Kaggle
  • Classifying Cats vs Dogs with a Convolutional Neural Network on Kaggle
  • Using a neural network to solve OpenAI's CartPole balancing environment